| Advertencia: La información proporcionada en esta página es meramente informativa, este sitio no se responsabiliza por los efectos colaterales derivados del uso o abuso de las sustancias aquí descritas, los que serán responsabilidad pura y exclusiva de los usuarios. |
>>>Regresar<<<
La testosterona transdérmica se ha comercializado mucho en la terapia de reemplazo hormonal mercado durante la última década. Durante más de 50 años, la terapia de testosterona ha sido utilizado para el tratamiento del hipogonadismo. En los últimos años, ha habido un aumento en el uso de la terapia con testosterona para hombres con hipogonadismo de inicio tardío, a veces conocido como andropausia. La administración de testosterona en los ancianos y los hombres hipogonádicos puede mejorar significativamente su sentido de bienestar, y provocar un aumento de masa muscular y ósea, la fuerza superior del cuerpo, la virilidad y la libido (5). la entrega oral de testosterona sin modificar no es realmente una opción viable, debido a su metabolismo de primer paso rápido, posible toxicidad en el hígado, y su relativamente corta Half-Life. Por lo tanto, la testosterona inyectable se usa por un tiempo muy largo como un método de reemplazo hormonal eficaz. Hace aproximadamente una década, las alternativas a la testosterona inyectable y oral se desarrollaron. Originalmente, estos métodos alternativos de aplicación para la testosterona de afeitar significó un área de la superficie de la piel (* generalmente el escroto ... no, de verdad) y adjuntar un parche de testosterona con fuego bajo y seco (de nuevo, no, en realidad) como un secador de pelo, que básicamente caliente pegado el parche de testosterona en el escroto. No puedo ver, por la vida de mí, la lógica empleada por el médico que cree que este método es preferible a las inyecciones semanales o quincenales. Por suerte, este procedimiento doloroso progresado hasta el punto en donde está ahora, y sólo tiene que aplicar un parche pegatinas o frotar un poco de gel de testosterona en cualquier parte de tu cuerpo, y obtener el mismo efecto. Recientemente, el escándalo BALCO aparece muchas referencias al método de gel. Creo que, para una adecuada comprensión de este tipo de productos, vamos a tener que echar un vistazo a tanto la droga (testosterona), así como el método de administración (administración transdérmica), y ver cómo trabajan juntos, y cómo se comparan con las inyecciones de testosterona.
Cuando algunos (nonscrotal) los preparados de testosterona transdérmica se han examinado, demostraron que la concentración plasmática de TS aumentado muy rápidamente, y alcanzó el nivel más alto dentro de las 3-6 horas de aplicación del parche experimental .. (2) Esto es comparable con algunas de los mejores productos orales por ahí, en mi experiencia, un atleta normalmente tragar una píldora que tiene un parche colgado de ellos durante un día, sin embargo.
Básicamente, usted puede contar con todos los beneficios de la testosterona inyectable con la transdermals (si la dosis del magnesio eran los mismos, que no lo son). Lo que estamos tratando aquí es Androderm, que es un parche que contiene 12.2mgs de la testosterona, y Androgel, que le da casi lo mismo (sólo recibe el 10% del consumo total de medicamentos que figuran en la preparación ... así cien mgs de la prueba en forma de gel, produciría una cantidad de 10 mg en su cuerpo).
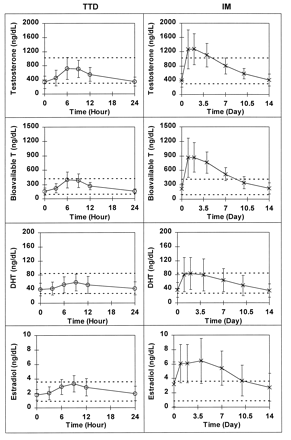
He aquí un cuadro que compara un transdérmico con un inyectables, utilizando tanto la testosterona:

El estado de equilibrio farmacocinético de perfiles T, BT, DHT, E2 y perfiles de todas las noches durante las aplicaciones de los sistemas TTD (n = 27;, los paneles de la izquierda) y las inyecciones cada dos semanas IM de enantato de T (n = 29, X, paneles de la derecha), medido en la semana 16. Las líneas discontinuas indican los límites superior e inferior del rango normal basado en muestras de suero por la mañana (T, 306-1031 ng / dL, BT, 92-420 ng / dL; DHT, 28-85 ng / dL, E2, 0.9-3.6 ng / dL). Las barras de error indican ± SD (1).
No tan grande, ¿eh? Un disparo simple 100 mg de testosterona inyectable proporciona mucho mayor de las concentraciones plasmáticas pico de testosterona, aunque la testosterona transdérmica era más estable, con respecto a los niveles de plasma sanguíneo. ¿Cuáles son las ventajas de la aplicación transdérmica? Está claro, proporciona un nivel sanguíneo muy estable del compuesto administrado. Sé que parece que te estoy matando con las cartas, pero echa un vistazo a este:

T Las concentraciones séricas (media ± SE) antes (día 0) y después de las aplicaciones T transdérmico los días 1, 30, 90 y 180. Tiempo 0 h fue 0.800 h, cuando comenzó a tomar muestras de sangre por lo general. El día 90, la dosis en los sujetos la aplicación de gel de T 50 o 100 avanzaba-o hacia abajo-valora si sus niveles séricos de T preapplication estaban por debajo o por encima del rango de un hombre adulto normal, respectivamente. En este y en las cifras de las líneas discontinuas representan el rango normal de adultos varones, y las líneas de trazos y símbolos, representan temas cuya T gel de dosis se ajustaron.
Así que es coherente, .. pero a quién le importa? Los niveles de testosterona que nos dan son lo suficiente para proporcionar un ligero impulso, en un nivel alto (financieros) de costes. ¿No sería estupendo si pudiéramos hacer que este material dosificado más alta? O tal vez incluso con Clen, por lo que podía dirigirse directamente a las áreas grasas? O con Tren? Eso sería genial, ¿eh? Incluso habría posibilidad de que por primera vez los usuarios de esteroides fobia de agujas para usar objetos que antes estaban sólo está disponible como un inyectable! Las mujeres pueden usar un producto Tren sin dejar marcas de la aguja! De hecho ... con un poco de creatividad, los laboratorios subterráneos podría incluso hacer que los productos transdérmicos que nunca sería atrapado por las aduanas (quizá disfrazados como pegatinas o lo que sea).
En fin ... supongo que no está en las tarjetas, aunque ...
Vamos a seguir adelante ...
Uno particularmente exitoso método transdérmico de testosterona de entrega implica la combinación de DuroTak 87-2510 como un polímero adhesivo. Esto se combina con un 3% y el 10% dodecilamina abarcan 80. Esto, combinado con testosterona crea un sistema de buena administración transdérmica (4). Otra preparación experimental testosterona transdérmica contiene oclusión, octisalate (OS) y propilenglicol (PG), llamado Solugel (que es un hidrogel de las especialidades que contengan PG 25% w / w) y Tegaderm (una película semipermeable vestidor) sobre la penetración de los TES se evaluados. La oclusión no tuvo efecto sobre la penetración de TES, sin embargo, el sistema operativo aumentó el flujo de TES de 2,9 veces. La concentración de PG que produjo flujo TES óptima fue de 20% v / v, y esta concentración como resultado un incremento de 1.9 veces en TES penetración. Mediante la combinación de sistema operativo, PG, y la oclusión, permeación transdérmica de testosterona a través de la piel se incrementó 8.7 veces, que era una mejora sinérgica, obviamente, es decir, la suma de las partes era mucho más que sus totales individuales (3). Por qué me molesto en decirle todos los ingredientes, lo que fácilmente se puede encontrar en una casa de suministro de productos químicos, y se compró legalmente? Desde luego, no por lo que podría hacer su propia preparación transdérmico de testosterona (o Tren, o Clen, o lo que sea) y que sería ilegal. A pesar de que usted ahora sabe los ingredientes, y sólo podría hacer un gel con ellos y algunos de testosterona (o tren, de pelotillas Finaplex), y crear su propio producto transdérmicos de administración de medicamentos. Eso sería un error
Loading...



